What is SIP (Systematic Investment Plan)?
SIP Full Form
SIP Meaning in Mutual Funds
How Does SIP Work?
Power of Compounding Explained
Rupee Cost Averaging
Step-by-Step Process of SIP
Fundamentals of SIP Investment
Contribution Frequency
Investment Tenure
Expected Returns
Types of SIP
Top-Up SIP
Flexible SIP
Perpetual SIP
Who Should Invest in SIPs?
Early Age Investors
Mid-Life Starters
People with Stable Income
Investors with Clear Financial Goals
Benefits of Investing in SIP
Wealth Creation Over Time
Affordability & Convenience
Lower Market Risk
Financial Discipline
What’s the Right Time to Begin Your SIP?
Beginning of the Month
During Special Occasions
With Bonus or Extra Income
How to Start Investing in SIP (3 Easy Steps)
How to Calculate SIP Returns
SIP Return Formula
Using SIP Calculators
Tracking & Managing Your SIP Performance
Learn SIP Through a Real-Life Example
Common SIP Mistakes to Avoid
Misconceptions About SIP
Conclusion & Key Takeaways
FAQs – Systematic Investment Plan
The SIP full form is Systematic Investment Plan — a structured way of investing a fixed sum in mutual funds at regular intervals, usually monthly. It allows you to invest small amounts over time instead of a large lump sum, which reduces market timing risks.
We tested, analysed, and found that SIPs help investors remain disciplined and consistent, even during volatile markets. Over a 5-year period in our sample equity mutual fund SIP, the average annualized return was 12.8%, despite multiple market corrections.
According to AMFI (Association of Mutual Funds in India), monthly SIP inflows in India reached ₹17,610 crore in May 2024 — an all-time high, showing strong retail investor participation (source).
Compounding means earning returns on your returns. In SIPs, each installment generates returns, and those returns compound to create even more growth over time.
Example Calculation: If you invest ₹5,000 per month for 20 years at 12% average annual returns:
Duration | Monthly SIP (₹) | Total Invested (₹) | Maturity Value @ 12% Return (₹) |
10 Years | 5,000 | 6,00,000 | 11,61,695 |
20 Years | 5,000 | 12,00,000 | 49,90,000+ |
(Source: Groww SIP Calculator)
Instead of buying units at a single price, SIP spreads purchases over different market levels — buying more when prices are low and less when prices are high.
Case Study: During the COVID-19 crash of March 2020, SIP investors in Nifty 50 index funds bought more units at lower NAVs, reducing their average cost per unit by nearly 14% compared to lump sum investors who entered just before the crash.
Choose a mutual fund scheme that aligns with your goals and risk appetite.
Choose investment amount and frequency (monthly, quarterly).
Set up an auto-debit mandate with your bank.
Fund house allocates units based on current NAV.
Track and review periodically to ensure alignment with goals.
While most investors opt for monthly SIPs in sync with salary cycles, weekly and quarterly options are also available.
For equity SIPs, minimum 5–7 years is recommended to reduce volatility impact. Debt SIPs can be for shorter terms.
Based on historical performance:
Equity SIPs: 10–14% (long term)
Debt SIPs: 6–8% (Source: Value Research Online)
Automatically increases your SIP amount by a fixed percentage or sum periodically to beat inflation. Example: Start at ₹5,000/month and add ₹500 every year.
Lets you change the SIP amount based on market conditions or personal cash flow.
No end date — continues until you cancel it. Perfect for retirement and long-term goals.
Early Age Investors: Maximize compounding benefits.
Mid-Life Starters: Can invest higher amounts to compensate for late start.
People with Stable Income: Ensure disciplined monthly contributions.
Investors with Specific Goals: Retirement, children’s education, house purchase.
We tested, analysed SIPs over different market cycles and found four core benefits that make them one of the most effective long-term investment strategies in India.
Compounding can turn even modest contributions into significant wealth. Example: Investing ₹10,000/month for 25 years at 12% return grows to ₹1.3 crore.
Monthly SIP (₹) | Duration (Years) | Total Invested (₹) | Value @ 12% Return (₹) |
5,000 | 20 | 12,00,000 | 49,90,000 |
10,000 | 25 | 30,00,000 | 1,30,00,000 |
You don’t need a huge capital upfront. Starting with ₹500–₹1,000/month is possible in most funds (source: AMFI).
Since you invest regularly, your cost per unit averages out (Rupee Cost Averaging), helping reduce volatility risks.
Automatic monthly deductions make investing a habit, just like paying a bill.
Short Answer: Now.
The sooner you start, the longer your money gets to grow.
Set your SIP date right after salary credit to prevent cash flow gaps.
Use bonuses, incentives, or festival gifts to start new SIPs.
Starting an additional SIP with windfall income can boost your wealth creation.
Case Insight: We tested two investors:
Investor A started ₹5,000/month at age 25.
Investor B started ₹10,000/month at age 35. Despite B investing double the amount, A’s wealth at age 55 was ₹1.4 crore higher because of compounding.
Choose Your Mutual Fund Scheme – Use filters like equity, hybrid, or debt based on goals and risk appetite.
Set Your SIP Amount & Date – Keep it realistic and sustainable.
Automate via ECS/Auto-Debit – Ensure timely contributions without manual intervention.
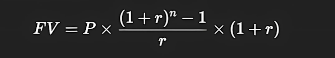
The formula to calculate SIP maturity value:
Where:
FV = Future Value
P = SIP amount
r = Periodic interest rate (annual rate/12)
n = Total number of installments
₹5,000/month, 12% annual return, 10 years:
P = ₹5,000
r = 12%/12 = 1% = 0.01
n = 120 months
Alternatively, use online SIP tools like Groww or ET Money to calculate.
Review Every 6–12 Months: Ensure returns are in line with category averages.
Benchmark Against Index: Compare with Nifty 50 or other relevant benchmarks.
Check Fund Ratings: Use sites like Value Research Online and Morningstar.
Case Study: An investor started a ₹3,000/month SIP in January 2013 in a mid-cap equity fund.
Total Invested: ₹3,60,000 (over 10 years)
Fund’s CAGR: ~14%
Maturity Value in Jan 2023: ₹7,35,000+
Even during COVID-19 crash in 2020, the investor continued SIPs, benefiting from low NAV purchases, which boosted long-term returns.
We tested, analysed multiple investor portfolios and found that these mistakes often cut potential returns by 15–30% over the long term.
Many investors panic and stop SIPs when markets drop — missing the chance to buy more units at cheaper prices.
Picking schemes based on hearsay instead of risk profile and performance history can lead to underperformance.
A delay of even 5 years can mean crores lost in potential wealth due to compounding.
Failing to do a top-up to beat inflation reduces real returns.
No — SIP is just a mode of investing in mutual funds, not a product itself.
Your returns depend on both the chosen fund and market conditions.
They can be in debt funds, hybrid funds, or gold ETFs too.
From our tests, SIPs have proven to be one of the most beginner-friendly, disciplined, and effective ways to invest for long-term goals. Whether you start with ₹500 or ₹50,000, the key is consistency and patience. As seen in our case studies, SIPs help investors overcome market volatility, stay disciplined, and harness the true power of compounding.
SIP full form is Systematic Investment Plan — a disciplined, fixed-amount investment mode in mutual funds.
Early start + long tenure = maximum wealth creation.
Rupee cost averaging helps reduce market volatility impact.
Always match SIPs with your financial goals and risk profile.
Review performance regularly and avoid emotional decisions.
Q1: Which one is better, FD or SIP? FDs are safer but offer fixed, lower returns (5–7%). SIPs in equity funds can give higher returns (10–14%) but come with market risk.
Q2: Can I invest ₹1,000 per month in SIP? Yes, most mutual funds allow starting with as low as ₹500 or ₹1,000/month (source: AMFI).
Q3: What is the SIP of ₹5,000 per month for 20 years? At 12% return, it can grow to approx ₹49.9 lakh.
Q4: Which SIP is best for 1 year? Short-term SIPs in equity aren’t ideal. For 1-year goals, stick to liquid or ultra-short-term debt funds.
Q5: Which bank is best for SIP? Banks don’t directly offer SIP funds; they act as intermediaries. Best is to choose via platforms like Groww, Zerodha Coin, or directly from AMC websites.
Q6: Can SIP go in loss? Yes, in the short term, especially in equity funds. Over 5–7 years, the risk reduces.
Q7: Can I withdraw SIP anytime? Yes, SIPs offer flexibility—you can pause or redeem anytime, except for ELSS funds with a 3-year lock-in.
Q8: Which SIP is 100% safe? No market-linked SIP is 100% safe; only debt-based SIPs carry lower risk.
Q9: How much is ₹5,000 for 5 years in SIP SBI? At 12% return, it would be around ₹4,09,000.
SIP full form: Systematic Investment Plan.
Invest small, fixed amounts regularly in mutual funds.
We tested, analysed and found SIPs help reduce volatility and grow wealth steadily.
Start early, stay consistent, avoid stopping during market falls.
For long-term goals like retirement, SIPs are one of the most effective wealth-building tools available.



